广告:时间还剩10
 
免费订阅一年期杂志
天线 解决方案 信号分析
技术文章
 
毫米波有源带通滤波器
材料来源:《南宫国际28官网 》2017年3/4月刊           录入时间:2017/5/18 10:17:05

毫米波有源波器

Millimeter Wave Active Bandpass Filters

Saurabh ChaturvediMladen BožanicSaurabh Sinha

南非约翰内斯堡大学

本文毫米波有源波器,旨在激励高性能特60GHz以上毫米波波器的研究与开。有源波器具有耗低、外抑制性能佳、选择性良好和集成度高的点。文章详细了多种设计理念和实现,并讨论了它各自的缺点及设计

毫米波段的频率范围为30至300GHz,覆盖了多个免许可使用的频段,并支持Gbps高速无线通信。世界各国在60GHz左右都提供免许可使用频段,如美国和韩国的57-64GHz,日本和欧洲的59-66GHz,澳大利亚的59.4-62.9GHz,以及南非的59-64GHz。电磁波的传输常常受到影响和限制,包括自由空间路径损耗、大气中的氧和水汽对毫米波的吸收、雨衰、建筑物阻隔还有地板及墙壁的吸收。这些效应使60GHz频段更适合短距离(小于1公里)通信。

电子滤波器用于去除信号中不想要的频率成分或者增强所需成分。带通滤波器允许指定范围内的频率通过,并使其他频率分量衰减。在通信系统中,带通滤波器位于天线和射频接收器的低噪声放大器(LNA)之间。

带通滤波器可以分为三种类型:纯有源、纯无源及有源(有源+无源或半无源)1。纯无源(无源)滤波器仅由无源组件构成,即电阻、电容和电感,这类滤波器不具备放大信号的功能,使用时无需电源,于是也没有功率消耗。此外,因其内部不含有源器件,从而不存在有源噪声,只会由于有电阻组件的缘故而产生热噪声。所以说,无源滤波器的噪声性能更好。在纯有源和有源(半无源)滤波器中,晶体管被用作为有源组件,因而这类滤波器工作频率受限、线性度差、噪声系数(NF)高,且存在功率消耗。不过它们的尺寸比无源滤波器要小。

无源滤波器存在损耗高的问题,还有不兼容调谐组件的缺点。它们需要在带宽和插入损耗之间进行权衡,且带外抑制水平低。至今还没有基于互补金属氧化物半导体(CMOS)工艺的无源带通滤波器的3dB分数带宽能低于10%或高于65%。

有源滤波器可以通过损耗补偿(Q增强)技术实现,并能用于收发器模块中以减小损耗和尺寸2。CMOS有源带通滤波器已能够实现3dB分数带宽低于10%,同时具有较低的插入损耗3,4。损耗补偿技术可以使插入损耗降到0dB3,5,6。此外,无论是在低频或高频情况下,均可实现良好的带外抑制。除了尺寸小和损耗低的优点之外,单片有源滤波器还具有良好的选择性,与其它电路的高集成度以及电调谐能力。

传统观念认为,毫米波电路由于是应用在高速器件上,只能由砷化镓(GaAs)和磷化铟(InP)(III-V族化合物工艺)来实现。III-V族异质结双极晶体管(HBT)和高电子迁移率晶体管(HEMT)技术可达到高截止频率。GaAs和InP衬底呈现半绝缘特性,具有107至109Ω-cm数量级的高电阻率。然而,III-V工艺同时也存在热导率低(温度为300K时,GaAs的导热系数为0.46W/cm-K,InP为0.68,而硅(Si)则为1.41)、漏电流大、器件可靠性欠佳、集成度低以及成本高的问题。

CMOS工艺成本低、集成度及可靠性高。MOS场效应晶体管(MOSFET)尺寸的减小促使了基于CMOS技术的高速晶体管的诞生。尽管如此,片上无源器件Q值低和噪声性能差仍然是CMOS工艺的主要缺点。

除了CMOS之外,还有另一个常用于射频及毫米波电路设计的重要硅工艺——硅锗双极互补金属氧化物半导体(SiGe BiCMOS)技术。SiGe HBT比硅双极结晶体管(BJT)增益更高,噪声和功率性能也更好。SiGe BiCMOS工艺的性能与GaAs和InP工艺的相当。而SiGe技术的优势是能够在单个芯片上运用CMOS工艺实现数字、模拟和射频模块。这一点是任何其它技术所达不到的(如GaAs、InP)。

有源波器设计方法

有源带通滤波器目前的设计理念有许多,其中包括将无源滤波器与放大器、有源匹配器、有源反相器、负电容和负电阻进行横向、递归、级联连接。在所有这些方法中,负电阻技术最为简单,且最适合毫米波有源滤波器的设计2。该拓扑结构可同时用于集总式和分布式谐振器。负电阻通过电阻损耗补偿来提高无源网络的Q值。这种方法使得有源滤波器更加稳定,同时还达到了良好的抑制比7。负电阻拓扑包括变压器反馈、抽头电感反馈、有源电容、减少了的有源器件,交叉耦合对等。

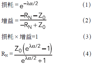
图1为一个由四分之一波长(λ/4)传输线制成的谐振器。谐振器的短路端口由一个进行损耗补偿的负电阻(-RN)所代替。损耗可用传输线的衰减常数(α)表达,见式1。式2代表了由负电阻产生的增益,通过特性阻抗(Z0)和RN表示。当满足等式3时,谐振器的损耗得到了完全补偿,此时其Q值为无穷大。该条件下的RN由等式4表示。若RN的值大于式4中的值,则谐振器保持环路增益,并且产生振荡2

1负电补偿

除了要满足式4外,负电阻还应在较宽的频率范围上保持恒定,以补偿无源谐振器的损耗,同时不至于引起振荡或不稳定。图2是一个使用场效应管作为有源组件的负电阻电路;图3为应用了负电阻技术的二阶有源带通滤波器的电路图。

2负电

 

3负电阻的二有源波器

有源波器实现

有源带通滤波器可大致分为两类:不基于传输线的Q增强型以及基于传输线的Q增强型。不基于传输线的Q增强型技术又可以进一步分为两个子类:基于LC和基于有源电容。

基于LC的Q增强型有源带通滤波器主要使用变压器反馈8,9和抽头电感器反馈10架构。与常规变压器反馈拓扑相比,抽头电感反馈技术可实现高电感、低功耗和小尺寸。然而,这两种拓扑实现的有源带通滤波器都具有噪声系数相对较高以及功率消耗大的缺点。这类拓扑一般采取共源极或共栅极串联反馈结构,主要用于振荡器的电路设计中。正是由于串联反馈结构,这些有源带通滤波器的噪声性能有所下降1

在低GHz(小于10GHz)射频集成电路设计中,最大的挑战便是片上无源电感的低Q值。在这些频率上,有源带通滤波器的插入损耗主要由这些电感的低Q值所决定。在毫米波段,无源电感的理想Q值为15甚至更高。片上无源电感的Q值随着频率的提升而提升,而片上无源电容的Q值则会随之降低。因此,在毫米波滤波器中,插入损耗主要受电容的Q值影响。噪声系数也取决于插入损耗,因此通过在有源滤波器设计过程中使用高Q电容,便可以降低插入损耗和噪声系数11。此外,随着频率的增大,片上无源电容器的电容也增加。Q值低和电容值随频率产生偏差是十分严重的缺点,毫米波集成电路的整体性能也因而显著降低。

片上有源电容器能更好地替代片上无源电容器。有源电容器由晶体管构成,并且具有高Q值和可调谐能力。这些高Q电容可用于改善毫米波有源带通滤波器的损耗和噪声性能。基于LC的Q增强型有源带通滤波器噪声和功率性能差,而用有源电容器实现的带通滤波器就不存在这一问题1,11

基于传输线的Q增强型有源带通滤波器也已通过采用交叉耦合对3-5,12和耦合负电阻13等技术实现。谐振器中应用了不同的交叉耦合对架构以补偿电阻损耗,其中包括nMOS5,12,14和互补3,4交叉耦合对。

使用合成准横向电磁(quasi-TEM)传输线(也称为互补导电带传输线(CCS TL))来实现的无源谐振器已有报道3,4。与常规薄膜微带线相比,CCS TL能够提供更多的参数用于合成,而不需要改变任何工艺和材料常数。此外,CCS TL在二维平面中既可以蜿蜒,又少发耦合效应。进行了有效蜿蜒的CCS TL可以实现紧凑布局、小尺寸和高度集成。CCS TL这些引人注目的特性使其能够胜任在单片南宫在线官方网 集成电路(MMIC)和片上系统(SOC)中的应用。

CCS TL的一种变体可用于实现无源谐振器,称为冷凝补充导电带传输线(C-CCS TL)12。使用C-CCS TL能够进一步显著减小尺寸。CCS TL和C-CCS TL二者都可同时促进尺寸减小和Q值提升,因此可用在基于传输线的紧凑型毫米波带通滤波器设计中。

选择性与多模式

低阶片上带通滤波器的选择性并不尽如人意10。常规二阶带通滤波器带外抑制水平低。要提高滤波器的选择性,可以通过增加其阶数来达到,但同时也会增大插入损耗及芯片面积。许多高选择性的有源带通滤波器都运用了传输零点的概念。这些传输零点位于滤波器通带的任一侧。

大多数片上带通滤波器都是使用单模谐振器来实现的。通过改进常规谐振器以产生用于实现多模工作的附加模式,可以减小滤波器的尺寸和损耗15。Ma等人提出了基于多模谐振器(MMR)的SiGe BiCMOS片上多模无源带通滤波器15。它的芯片面积小、插入损耗低。双模带通滤波器已在先进无线通信系统中展现了很高的重要性,因为它们Q值高、选择性和窄带性能良好。双模有源带通滤波器由Karacaoglu等人16首次提出。而Su和Tzuang3为我们带来了使用CCS TL的基于环形谐振器的双模CMOS有源带通滤波器。

性能比

表1对先前提到的有源带通滤波器1,3,5,8,10,17的性能参数进行了比较。N、fc、PDC、P1dB和RL分别是带通滤波器的阶数(极点数)、中心频率、DC功率耗散、带内输入1dB压缩点和回波损耗。品质因数(FOM)是一个用于比较有源射频带通滤波器的参数,它的表达式为8,10

其中PDC和P1dB以瓦为单位,fc以赫兹为单位,NF和FBW为实际值(不分别转换为dB及百分比)。

有源波器的缺点

有源滤波器的缺点包括高噪声系数、工作频率限制和对工艺变化以及环境条件的敏感度。应用于毫米波段的有源带通滤波器非常少见。现有的文献里,提到的中心频率包括GaAs工艺下的31.8GHz18、CMOS工艺下的34.2GHz5和40GHz11以及GaAs下的65GHz2。有源带通滤波器的主要设计难点是如何降低噪声系数并提高工作频率。

总结

本文对毫米波有源带通滤波器进行了全面论述。片上有源带通滤波器具有噪声系数高和工作频率不高的主要缺点。就笔者所知,到目前为止只有一篇论文2提出了中心频率达60GHz以上的有源带通滤波器,且为GaAs工艺实现。使用CMOS工艺来实现这种高频有源滤波器的性能表现和可行性需要进一步研究。鉴于CMOS射频电路会有噪声性能差的问题,SiGe BiCMOS工艺或许是另一个不错的选择。

参考文献

1. S. Wang and W. J. Lin, “C-Band Complementary Metal- Oxide-Semiconductor Bandpass Filter Using Active Capacitance Circuit,” IET Microwave, Antennas and Propagation, Vol. 8, No. 15, December 2014, pp. 1416–1422.

2. M. Ito, K. Maruhashi, S. Kishimoto and K. Ohata, “60-GHz-Band Coplanar MMIC Active Filters,” IEEE Transactions on Microwave Theory and Techniques, Vol. 52, No. 3, March 2004, pp. 743–750.

3. L. Su and C. K. C. Tzuang, “A Narrowband CMOS Ring Resonator Dual-Mode Active Bandpass Filter with Edge Periphery of 2% Free-Space Wavelength,” IEEE Transactions on Microwave Theory and Techniques, Vol. 60, No. 6, June 2012, pp. 1605–1616.

4. K. K. Huang, M. J. Chiang and C. K. C. Tzuang, “A 3.3 mW K-Band 0.18-μm 1P6M CMOS Active Bandpass Filter Using Complementary Current-Reuse Pair,”IEEE Microwave and Wireless Components Letters, Vol. 18, No. 2, February 2008, pp. 94–96.

5. M. J. Chiang, H. S. Wu and C. K. C. Tzuang, “A 3.7-mW Zero-dB Fully Integrated Active Bandpass Filter at Ka-Band in 0.18-μm CMOS,” IEEE MTT-S International Microwave Symposium Digest, June 2008, pp. 1043–1046.

6. T. Soorapanth and S. S. Wong, “A 0-dB IL 2140 ± 30 MHz Bandpass Filter Utilizing Q-Enhanced Spiral Inductors in Standard CMOS,” IEEE Journal of Solid-State Circuits, Vol. 37, No. 5, May 2002, pp. 579–586.

7. K. W. Fan, C. C Weng, Z. M. Tsai, H. Wang and S. K. Jeng, “K-Band MMIC Active Band-Pass Filters,” IEEE Microwave and Wireless Components Letters, Vol. 15, No. 1, January 2005, pp. 19–21.

8. B. Georgescu, I. G. Finvers and F. Ghannouchi,“2 GHz Q-Enhanced Active Filter with Low Passband Distortion and High Dynamic Range,” IEEE Journal of Solid-State Circuits, Vol. 41, No. 9, September 2006, pp. 2029–2039.

9. J. Kulyk and J. Haslett, “A Monolithic CMOS 2368 ± 30 MHz Transformer Based Q-Enhanced Series-C Coupled Resonator Bandpass Filter,” IEEE Journal of Solid-State Circuits, Vol. 41, No. 2, February 2006, pp. 362–374.

10. S. Wang and B. Z. Huang, “Design of Low-Loss and Highly-Selective CMOS Active Bandpass Filter at K-Band,” Progress in Electromagnetics Research, Vol. 128, June 2012, pp. 331–346.

11. A. Ghadiri and K. Moez, “High-Quality-Factor Active Capacitors for Millimeter-Wave Applications,” IEEE Transactions on Microwave Theory and Techniques, Vol. 60, No.12, December 2012, pp. 3710–3718.

12. M. L. Lee, H. S. Wu and C. K. C. Tzuang, “1.58-GHz Third-Order CMOS Active Bandpass Filter with Improved Passband Flatness,” IEEE Transactions on Microwave Theory and Techniques, Vol. 59, No. 9, September 2011, pp.2275–2284.

13. C. Y. Chang and T. Itoh, “Microwave Active Filters Based on Coupled Negative Resistance Method,” IEEE Transactions on Microwave Theory and Techniques, Vol. 38, No. 12, December 1990, pp. 1879–1884.

14. C. K. C. Tzuang, H. H. Wu, H. S. Wu, and J. Chen, “CMOS Active Bandpass Filter Using Compacted Synthetic Quasi- TEM Lines at C-Band,” IEEE Transactions on Microwave Theory and Techniques, Vol.54, No. 12, December 2006, pp.4548–4555.

15. K. Ma, S. Mou and K. S. Yeo, “Miniaturized 60-GHz On- Chip Multimode Quasi-Elliptical Bandpass Filter,” IEEE Electron Device Letters, Vol. 34, No. 8, August 2013, pp.945–947.

16. U. Karacaoglu, I. D. Robertson and M. Guglielmi, “A Dual- Mode Microstrip Ring Resonator Filter with Active Devices for Loss Compensation,” IEEE MTT-S International Microwave Symposium, Vol.1, June 1993, pp. 189–192.

17. Z. Gao, J. Ma, M. Yu and Y. Ye, “A Fully Integrated CMOS Active Bandpass Filter for Multiband RF Front-Ends,” IEEE Transactions on Circuits and Systems-II: Express Briefs, Vol. 55, No. 8, August 2008, pp. 718–722.

18. W. Mouzannar, H. Ezzedine, L. Billonnet, B. Jarry and P. Guillon, “Millimeter-Wave Band-Pass Filter Using Active Matching Principles,” Proceedings of the IEEERussia Conference on High Power Microwave Electronics, September 1999, pp. 11–14.


上一篇:固态射频能量的设计难点:家庭和工... 下一篇:在同轴电缆中尽可能减小温度引起的...

版权声明:
《南宫国际28官网 》网站的一切内容及解释权皆归《南宫国际28官网 》杂志社版权所有, 未经书面同意不得转载,违者必究!
《南宫国际28官网 》杂志社。


友情链接
欧洲杯预测最新西班牙
  首页 | 关于我们 | 联络我们 | 加入我们 | 服务条款 | 隐私声明
Copyright© 2025: ; All Rights Reserved.
粤公网安备 44030402004704号    备案序号:粤ICP备12025165号-4
Baidu
map