广告:时间还剩10
 
免费订阅一年期杂志
天线 解决方案 信号分析
技术文章
 
一种WiFi OTA测试的方法
录入时间:2014/11/14 10:48:37

由于WiFi技术优势明显,作为无线移动通信接入端越来越受到商业应用的青睐。“…根据美国市场研究公司ABI Research的最新报告显示,截至2012年末,全球WIFI设备累计出货将达50亿台,并预测到2017年末,全球WIFI设备累计出货量将近200亿台。”[1]

Over The Air(简称OTA)用于测量无线移动设备的天线收发性能,作为移动设备无线性能的一种重要测试手段,越来越受到无线运营商和广大设备设计厂商的重视。目前,主流的OTA方案提供商都有自己的WiFi测试方案,但系统升级费用均较高。

本文通过对Anritsu的MT8860C仪表进行黑盒测试分析,提出一种WiFi OTA测试的自升级方案,并在ETS AMS8050暗室实际验证。

 方案的评估

在确立方案可行性之前,需要对现有的仪器、测试方案和测量条件进行细致评估:

1、 MT8860C动态范围评估

对于待测WiFi终端设备而言,全电波暗室测试环境可看作是一个损耗很大的“黑盒子”,因此,最初可以利用线缆方式外接衰减器来评估MT8860C仪表接收机性能是否满足暗室内可靠使用的需要。

通过调整衰减器的传输损耗(从0dB~40dB)分别观察5个独立样本值(每个样本值包含30次测试数据),测试结果如下图所示。图表中横坐标代表样本,纵坐标表示统计数值。

(a)11Mb/s的样本标准差

(b)54Mb/s的样本标准差

       (c)11Mb/s的样本均值    

     

(d)54Mb/s的样本均值

               (e)11Mb/s的无效值概率  

           

(f)54Mb/s的无效值概率

图1 MT8860C测试性能数据整理

可见,MT8860C即便在无损(0dB)情况下,由于高阶调制信号均峰比(PAR)值的影响,以及仪表系统开发特点,单次测试结果也无法保证稳定。但当测试大量重复进行后,测试均值较为稳定;而仪表接收功率越低,测量的波动越大,仪表的稳定性也越差。

因此,在OTA测试系统软件开发时,针对每个测量信道需要采集足够的样本值(建议10次测量),再进行均化处理,以保证测试的稳定性和可重复性。

 

2、功率/灵敏度测试方案一体化评估

以ETS的AMS8050全波暗室测量环境为例,由于AMS暗室的通讯天线与测量天线之间具有良好的隔离度,据此建立的硬件测量方案如图2所示。

由于WiFi终端的接收质量上报是通过数字帧格式封装的,对于TIS(接收灵敏度)测量,只要信号无失真传输,就不会改变测量结果,因而TRP(发射功率)测量和TIS测量可使用同一套系统,只是测量线路和模块的连接端口不同而已。

(a)    TIS测量

(b) TRP测量

图2 WiFi OTA信令测量示意图

 

3、其他评估

对于自研测试方案,除了需要充分评估硬件和软件的设计实现性与性能要求外,实际可测试性也需要充分考虑,其中以校准性能的考虑最为重要。准确的暗室校准结果是OTA测量结果正确性的保证。针对测量路径,并结合暗室实际校准过程评估,该方案具备实际可操作性。

 方案的设计

1、 硬件设计

如前所述,从实际成本考虑,硬件外置扩展模块主要由三部分组成(如图3),其中有源LNA是整个模块的核心部分。

图3 WiFi外置模块原理框图

硬件设计前需明确给出期望满足的关键指标,除对RF元器件性能[2]的基本要求外,根据WiFi信号的调制特点[3],对模块的1dB压缩点、群延时等都有一定的要求。实际评估外置模块指标时我们采取对比法:先以指定的WiFi终端直接进行仪表信令测试,获取该终端在典型WiFi模式下的功率和灵敏度值,再通过已知参数的分立RF模块搭建线缆测试环境逼近该测量结果,从而确定外置模块的设计指标。

之所以考虑外置模块的集成化设计,而不是直接用分立RF元件搭建,是因为集成设计方法有利于稳定测量环境,从而可以更好地体现测试结果的可重复性,并且不会占用大的操作空间,利于维护。

 2、 软件方案设计

自研测试系统软件的核心在于数据处理和算法确定。数据处理主要针对TRP的数据进行处理,如前所述,为保证测试的稳定性,需要采集至少10个样本,记为d1,d2,…,d10,通过计算d1-d2,d1-d3,…,d1-d10的值,来判断测量结果是否处在拒绝域外,从而舍弃不稳定的测量结果,详细的算法如下:

①     根据规定的测量次数[N](强制规定N>5),记录空间每个位置测量到的功率值序列(d1,d2,…,dN);

②     将序列排序D1,D2, …,DN

③     若|D1-DN|≤设置的门限阈值[H],则认为所有数据均满足要求,直接求其算术平均值作为测量结果(EIRP);

④     否则,建立动态二维数组,数组第一行存储D1-D2,D1-D3, …,D1-DN,第二行存储D2-D3,D2-D4, …,D2-DN,以此类推;

⑤     将数组的每个元素值(m,n)与设置的门限阈值[H]进行比较,若不大于门限,则落入接受域范围,即Dn和Dn+1可能为接受的值,保留一次接受值;

⑥     若大于门限值,则跳转到数组下一行,直接从(m+1,n+1)位置处继续查找,直至完成对数组所有存在元素的查找;

⑦     计算每次查找出的元素组(接受值)个数,认为元素组个数最多的一组数据为实际测量数据,计算这组数据的算术平均值作为最终结果(EIRP);

⑧     若计算出的元素组最多的个数不唯一,则认为无法从中判断测量数据,重复步骤①~⑦;

⑨     若仍无法判断,则认为门限阈值[H]设置不合理,测量中断,待重新设置[H]后重复步骤①~⑧。

对最终确认的有效数列求算术平均作为该点的功率测量值(EIRP),根据CTIA经典算法最终可以得到[4]

此外,由于WiFi自身信号宽带的特点(22MHz或40MHz),使得暗室空间损耗的补偿变得棘手。由于仪表不提供单位分辨率上的点功率值,因此对于带内波动明显的损耗补偿也采取积分定义式的有效方法尽量逼近。

算法确定主要是针对接收灵敏度探测:当前探测值A超出限值(FER)后,再探测A-1,若不超限值则继续向下探测;若超出限值则继续向下探测,直至FER达到100%,或者探测值达到下限;若A-1满足限值,则重复以上探测步骤。通过这种方法避免不同平台由于WiFi的power save模式造成的测试不准确。

图4 WiFi灵敏度探测点的选取

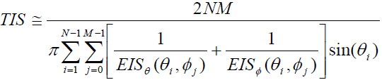
据此测得空间每一位置的EIS值,再根据公式整理可得[4]

 

方案的验证

1、 实际测试情况

外置模块最终加工(含封装)尺寸为14.7cm×6.3cm×2.0cm。加工后,通过矢量网络分析仪、WiFi信号发生器和频谱分析仪对实物进行RF基本性能的检测,再通过与MT8860C进行非信令交互以检验系统功率和灵敏度[5],均符合预期设计要求。

图5 实物模块

对暗室进行多次(9次测量)有源校准(如图6所示:横轴表示频率范围,纵轴代表统计量的标准差)。可见,多次测量结果的集中性较好,也能说明模块工作状态较为稳定。

图6 损耗测量的标准差

之后,与其他WiFi测量系统进行对比,数据如下所示。测试结果表明,该测试方案较其他商用测试系统差异并不大。

由于不能获取仪表参数,致使灵敏度测量结果可能会与实际结果有所差异(前级低噪放的添加改变了仪器系统自身信噪比性能),而这部分差异可以作为系统误差,通过适当的比对方法加以修正。

总结

此次测试系统开发工作涉及测试方案评估、软硬件设计开发、系统检验等方面,最终结果满足实际测试的使用要求,为扩展OTA实验室的测试资源提供了一次有意义的尝试。

 致谢

测量方案中的RF硬件设计与实物加工工作由南京理工大学南宫在线官方网 /毫米波电路与系统实验室主导进行。

 

参考文献

[1] 《2013年WIFI行业分析报告》

[2] Reinhold Ludwig, Pavel Bretchko,”RF Cricuit Design Theory and Applications”,2002

[3] Agilent,《RF Testing of WLAN Products: Application Note 1380-1》

[4] CTIA,Test Plan for Wireless Device Over the-Air Performance v3.2

[5] Anritsu,《MT8860C Radio Communication Analyzer Product Brochure》


上一篇:ADI推出面向单载波卫星通信设备... 下一篇:200W功率放大器/收发开关组件...

版权声明:
《南宫国际28官网 》网站的一切内容及解释权皆归《南宫国际28官网 》杂志社版权所有, 未经书面同意不得转载,违者必究!
《南宫国际28官网 》杂志社。


友情链接
欧洲杯预测最新西班牙
  首页 | 关于我们 | 联络我们 | 加入我们 | 服务条款 | 隐私声明
Copyright© 2025: ; All Rights Reserved.
粤公网安备 44030402004704号    备案序号:粤ICP备12025165号-4
Baidu
map